| 二、样本大小的估计 | 《预防医学》 |
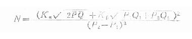
二、样本大小的估计病例对照研究所需样本含量的估计,须根据下列原则来定:1.人群中暴露于某研究因素人群所占的比例;2.预期与该暴露有关的相对危险度(比值比);3.第一型错误概率α(假阳性率);4.把握度(1-β)。这四项数值确定之后,可用公式计算或从样本含量表中查得需要的病例和对照数。 (一)用公式计算样本含量 将有关数值代入下列公式求病例组及对照组的例数。
Kα与Kβ分别α与β时正态分布百分位数,可从表29-1中查得,P1与P2分别估计对照组与病例组有暴露史的比例。Q1=1-P1,Q2=1-P2,P=(P1+P2)/2,Q=1-P。 (二)用查表方法估计样本含量 除用公式计算样本含量外,也可以直接查表(附表29-1、附表29-2)。这两个表是当气把握度=0.90时作单侧检验。附表29-2的α=0.05,附表29-3的α=0.01,当人群中暴露者比例(以对照组暴露比例为估计值)与暴露有关的OR不同时,病例对照研究所需要的病例数。表中三行字从上向下依次为1:1、1:2、1:4时所需的病例数,对照数可照比例推算。 表29-1 正态分布百分位数表
|
返回目录 |